分享好友 资讯首页 频道列表

通信信号的测频指标有哪些?

2022-03-19 15:465730
【智能装备网讯】


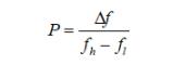
图片来源:Modern Communications Jamming Principles and Techniques。  通信信号的频域参数包括载波频率,带宽、码元速率、扩频/跳频速率等。通信信号的载波频率是通信信号的基本和重要特征,它相对稳定。因此,对通信信号的频率测量是侦察系统的重要任务,这是和截获及分析一起完成。  测频时间  测频时间是指从接收机截获信号至测频输出测频结果所需的时间。对于通信侦察系统,希望测频时间越短越好。测频时间直接影响到侦察系统的截获概率和截获时间。频域截获概率,即频率搜索概率定义为:  其中,△f是测频接收机瞬时带宽;fh-fl是测频范围,即侦察频率范围。搜索接收机的频率搜索概率很低。截获时间是指达到给定的截获概率所需的时间。  测频范围、瞬时带宽  测频范围是指测频系统最大可测的信号的频率范围,瞬时带宽是指测频系统在任一瞬间可以测量的信号的频率范围,频率分辨力是指测频系统所能分开的两个同时到达信号的最小频率差,将测频误差的均方根误差称为测频精度。  频率分辨力和测频精度  不同系统的测频范围、瞬时带宽、频率分辨力差异很大。如传统的宽带测频接收机的瞬时带宽很宽,其频率截获概率高,但频率分辨率很低,等于瞬时带宽。而窄带搜索接收机的瞬时带宽很窄,频率截获概率很低,但频率分辨率很高。传统搜索接收机的最大测频误差等于正负二分之一瞬时带宽。因此,瞬时带宽越宽,测频误差越大。  可测频信号  通信信号可以分成常规通信信号和扩频(特殊)通信信号。常规通信信号包括模拟调制信号,如AM、FM,数字调制信号如2ASK、2PSK、QPSK、2FSK、8FSK等,扩频(特殊) 通信包括 DS-SS、FH-SS、QAM、FDMA、CDMA、TDMA 等。  一般而言,常规通信信号测频比特殊通信信号的测频容易。扩频通信信号的测频比较困难,特别是跳频和跳时扩频通信信号、突发通信信号等。  灵敏度和动态范围  灵敏度是保证正确的发现和测量信号的前提,它与接收机体制和接收机的噪声电平有关。动态范围是指保证测顺接收机精确测频条件下信号功率的变化范围,工作动态范围是指测频精度条件下的强信号与弱信号的功率之比。瞬时动态范围则是保证测频精度条件下的强信号与寄生信号的功率之比。  测频通常是在侦察系统的前端完成,按照测频系统采用的技术原理可以把测频技术分别是直接测量法、变换测量法。直接测频方法使用某种形式的频率窗口,对进入频率窗口的信号进行测频。  如果使用单个频率窗口,在整个频率范围内进行搜索,称为搜索频率窗。如果使用多个频率窗口,称为毗邻频率窗或者滤波器组。变化测频方法使用某种变换,将信号变换到相应的变换域,再间接的进行测频,其常用的变换形式是傅立叶变换和Chirp变换。  值得注意的是,通信侦察的频率范围一般是很宽的,通常通信侦察接收机只能工作在某个频段内。在实际的通信侦察系统中,侦察接收机采用的是外差接收机,通过改变本振频率,在侦察频率范围内进行频率搜索,而在瞬时带宽内可以采用直接测频或者变换测频方法。



(采编:www.znzbw.cn)

免责声明:

本网转载并注明自其它来源(非智能装备网)的作品,目的在于传递更多信息,并不代表本网赞同其观点或和对其真实性负责,不承担此类作品侵权行为的直接责任及连带责任。其他媒体、网站或个人从本网转载时,必须保留本网注明的作品第一来源,并自负版权等法律责任。如涉及作品内容、版权等问题,请在发布之日起十五天内与本网联系,否则视为放弃相关权利。

反对 0
举报 0
收藏 0
打赏 0
评论 0

相关资讯