分享好友 资讯首页 频道列表

《M&D》3D打印复合材料的负泊松比效应与宏观力学性能

2022-01-24 13:338800
【智能装备网讯】         3D打印复合材料相较于传统复合材料具有更强的可设计性,这为创造更多的新结构提供了技术条件。负泊松比材料,是一种新型的力学超材料,当它们轴向压缩时(拉伸)时,将横向地收缩(膨胀)。并且,已有研究表明,负泊松比结构具有协同加强多种力学性能的潜力。
      为了结合3D打印技术的优势与负泊松比材料的力学性能加强效果,斯托尼布鲁克大学机械工程系的Tiantian Li(第一作者),Lifeng Wang(通讯作者)在《Materials & design》杂志上发表题为“Exploiting negative Poisson's ratio to design 3D-printed composites with enhanced mechanical properties”的文章,该团队开发了一类新的负泊松比复合材料,将其通过合理设计及与3D打印技术结合,并通过试验和数值分析来系统性地研究负泊松比晶格增强复合材料的宏观力学响应。
     此文章自2018年发表以来,已获得105次引用,年均被引超过34次。(数据来源:谷歌学术)
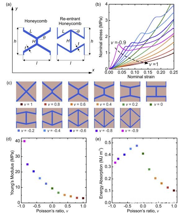
      该文章研究了四种结构形式,如图1所示,并使用Objet Connex260 multimaterial 3D 打印机进行制造 (Stratasys, Ltd), 结构共含有4*4单元,长和宽为40mm×40mm。为避免面外变形,厚度设计为20毫米。
图1 文中四种结构
此研究参考了ASTM D695标准,进行单轴压缩试验。其中,杨氏模量由标称应力 - 应变曲线的初始线性区域计算。使用了DIC来跟踪样品的变形和位移轮廓。还使用了图像处理软件(ImageJ 1.49 Q)用于确定样本的中心区域的位移,以便计算每个级别的施加压缩的泊松比。
图2 四种结构的宏观力学响应
图3 单轴压缩试验过程
为进一步研究泊松比效应的影响,采用ABAQUS/Standard (Simulia, Providence, RI)建立有限元模型进行变参分析。模型中采用各向同性材料模型,并使用弹性粘塑料模型捕获玻璃状聚合物的应力 - 应变行为。边界条件为在顶表面上施加单向分布载荷,而底部沿垂直方向固定。

图4 有限元分析
图5 泊松比效应对模量和比吸能的影响
小结
     与非辅助晶格增强复合材料相比,辅助晶格增强复合材料具有增强的力学性能,实现了刚度和比吸能的双层增强。并且,通过利用晶格增强物中的负泊松的比效应,发现增强体和基体之间的通过相互约束可以从基体获得额外的支持来实现力学性能的增强。

原始文献:Li T, Chen Y, Hu X, et al. Exploiting negative Poisson's ratio to design 3D-printed composites with enhanced mechanical properties[J]. Materials & design, 2018, 142: 247-258. (采编:www.znzbw.cn)

免责声明:

本网转载并注明自其它来源(非智能装备网)的作品,目的在于传递更多信息,并不代表本网赞同其观点或和对其真实性负责,不承担此类作品侵权行为的直接责任及连带责任。其他媒体、网站或个人从本网转载时,必须保留本网注明的作品第一来源,并自负版权等法律责任。如涉及作品内容、版权等问题,请在发布之日起十五天内与本网联系,否则视为放弃相关权利。

反对 0
举报 0
收藏 0
打赏 0
评论 0

相关资讯