分享好友 资讯首页 频道列表

广东海洋大学海洋食品保鲜与加工研究团队:鱼糜3D打印关键技术研究进展

2021-12-20 09:499310
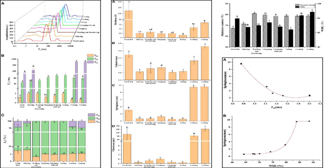
【智能装备网讯】 金鲳鱼鱼糜加工过程中水分与质构特性的相关性研究
      2021年1月12日,广东海洋大学海洋食品保鲜与加工研究团队:刘阳(1作,在读博士生),孙钦秀*(通讯作者),刘书成*(通讯作者)等在食品专业领域Top期刊Journal of Food Science(二区,IF=3.167)发表了题为“Investigation on the correlation between changes in water and texture properties during the processing of surimi from golden pompano (Trachinotus ovatus)”的研究论文。

水分特性和质构特性是评价鱼糜和鱼糜制品品质的重要指标。本文研究了鱼糜加工过程对水分特性和质地特性的影响,并分析了它们之间的相关性。结果表明,水分含量与T₂和A₂呈显著的正相关性(P<0.05),持水性与T₁和A₂呈显著的负相关性(P<0.05)。本文分析了水分特性和质构特性之间的相关性。水分含量和A₂与硬度呈显著的负相关性(P<0.05);持水性与内聚性、弹性和咀嚼性呈显著的正相关性(P<0.05),而T₁与它们呈显著的负相关性(P<0.05)。弹性是评价鱼糜凝胶质构特性的重要指标。T₁和持水性与弹性均有显著相关性(P<0.05),并分别建立弹性与T₁,以及弹性与持水性的拟合方程。验证试验证明,两个回归方程可用于预测鱼糜制品加工过程中特征指标间的变化规律。本研究提供了鱼糜制备过程中各加工环节生产质量的监测方法,并为鱼糜制品的质量控制提供设计思路。

金鲳鱼鱼糜加工过程中流变行为、蛋白质分子结构和3D打印特性之间的相关性研究
2021年9月,广东海洋大学海洋食品保鲜与加工研究团队:刘阳(1作,在读博士生),孙钦秀*(通讯作者),刘书成*(通讯作者)等在食品专业领域Top期刊Food Chemistry (一区,IF=7.514)发表了题为“Insight into the correlations among rheological behaviour, protein molecular structure and 3D printability during the processing of surimi from golden pompano (Trachinotus ovatus)”的研究论文。
本研究通过阐述鱼糜加工过程中物料的流变特性、蛋白质分子结构与3D可打印性之间相关性,揭示了金鲳鱼鱼糜具有3D可打印性的根本原因。研究表明,空擂、盐擂和预凝胶阶段的鱼糜适合3D食品打印,其中盐擂鱼糜的打印效果最好。聚类分析结果表明,屈服应力和AF值可分别作为表征鱼糜挤压行为和沉积行为的指标。鱼糜3D打印的精确度主要受到物料挤出性能的影响,由离子键含量控制;稳定性主要受到物料自支撑能力的影响,由氢键含量和疏水相互作用控制。鱼糜体系中的离子键含量,氢键含量和疏水相互作用达到平衡,可获得良好的3D打印特性。本项研究为3D食品打印的原料设计提供了理论指导。


LF-NMR作为预测鱼糜-淀粉体系3D可打印性的工具
2021年11月,广东海洋大学海洋食品保鲜与加工研究团队:刘阳(1作,在读博士生),孙钦秀*(通讯作者),刘书成*(通讯作者)等在食品专业领域Top期刊Food Chemistry (一区,IF=7.514)发表了题为“LF-NMR as a tool for predicting the 3D printability of surimi-starch systems”的研究论文。

鱼糜的流变学特性决定了3D可打印性,而物料的水分分布直接影响其流变学特性。本研究通过阐述鱼糜-淀粉体系水分特性、流变特性与3D打印能力之间的相关性,揭示了水分分布可直接影响鱼糜的3D打印性,并以低频磁场核磁共振(LF-NMR)测定的弛豫时间和对应峰面积比例作为变量,分别建立鱼糜体系3D打印精确性和稳定性的快速预测模型。采用鱼糜-玉米淀粉,鱼糜-交联淀粉和鱼糜-预糊化淀粉建立3D打印精确性和准确性的预测模型,采用鱼糜-豌豆淀粉和鱼糜-木薯淀粉对预测模型进行验证,均方根误差(RMSE)评估多项式回归预测模型的准确性和预测性。研究结果表明,3D打印精确性和稳定性多项式回归预测模型的相关系数均大于0.85,RMSE均小于5%。验证试验结果表明,两个多项式回归预测模型具有良好的预测性。因此,LF-NMR可快速无损耗的评估鱼糜3D打印特性。

专 家 简 介
△刘书成
刘书成,博士,教授,博士生导师,现任广东海洋大学食品科技学院院长。入选广东省扬帆计划高层次人才、广东海洋大学南海杰出学者,作为负责人带领“海洋食品绿色加工技术”研究团队入选广东省科技创新团队。兼任国际食物营养与安全协会理事、中国食品科学技术学会非热加工技术分会理事、中国食品科学技术学会特殊食品分会理事、广东省食品学会青年工作委员会副主任、广东省食品学会海洋食品专业委员会副主任、广东省水产流通与加工协会专家委员会委员等,《eFood》《农业工程学报》《食品科学》《肉类研究》《包装工程》等期刊编委。主持国家级项目3项、广东省重大项目1项,参与制定广东省地方标准1项,发表SCI收录论文50余篇,获得国家授权发明专利6件,编著《对虾加工与利用》、教材《水产食品加工学》和《食品优化试验设计》等。
△孙钦秀
孙钦秀(1986-),博士,讲师。2009-2019年,本、硕、博毕业于东北农业大学,师从孔保华教授。2019年入职广东海洋大学食品科技学院。主要从事海洋食品保鲜与加工、海洋食品3D打印等方面的研究。现主持广东省普通高校青年创新人才项目,湛江市海洋青年人才创新项目,农业农村部水产品加工重点实验室开放课题,广东海洋大学博士科研启动项目,江苏省海洋生物资源与环境重点实验室开放课题等,参与国家虾蟹产业技术体系保鲜与加工岗位的科研工作,参与国家自然科学基金面上项目,国家重点研发计划项目,省级自然科学基金项目等。International Journal of Refrigeration, Innovative Food Science & Emerging Technologiesy等SCI期刊审稿专家。目前,发表学术论文50余篇,其中SCI/EI收录30余篇,获得国家授权专利1项。
△刘阳
刘阳,广东海洋大学食品学院在读博士研究生,食品科学专业,研究方向为海洋食品加工新技术。以第一作者发表SCI论文3篇,累积影响因子共计18.195。 (采编:www.znzbw.cn)

免责声明:

本网转载并注明自其它来源(非智能装备网)的作品,目的在于传递更多信息,并不代表本网赞同其观点或和对其真实性负责,不承担此类作品侵权行为的直接责任及连带责任。其他媒体、网站或个人从本网转载时,必须保留本网注明的作品第一来源,并自负版权等法律责任。如涉及作品内容、版权等问题,请在发布之日起十五天内与本网联系,否则视为放弃相关权利。

反对 0
举报 0
收藏 0
打赏 0
评论 0

相关资讯