1.三相异步电动机的电磁转矩
三相异步电动机的转矩:

三相异步电动机的电磁转矩及机械特性
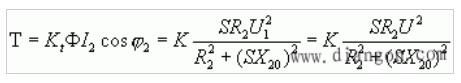
三相异步电动机的转矩是由旋转磁场的每极磁通Φ与转子电流I2相互效果而生成的。它与Φ和I2 的乘积成正比,此外,它还与转子电路的功率要素cosφ2 有关。
转矩表达式:

三相异步电动机的电磁转矩及机械特性
式中,K——与电动安排造参数、电源频率有关的一个常数;
U1,U ——定子绕组相电压,电源相电压;
R2——转子每相绕组的电阻;
X20——电动机不动(n=0)时转子每相绕组的感抗。
2.三相异步电动机的固有机械特性
固有机械特性:
异步电动机在额外电压和额外频率下,用规矩的接线办法,定子和转子电路中的不串联任何电阻或电抗时的机械特性称为固有(天然)机械特性。

电动机的志向空载转速:

三相异步电动机的电磁转矩及机械特性
额外转矩及额外转差率:S=(N1-N2)/N1
转矩-转差率特性的有用表达式,即规范化转矩-转差率特性。
3.三相异步电动机的人为机械特性
人为机械特性:
异步电动机的机械特性与电动机的参数有关,也与外加电源电压、电源频率有关,将联络式中的参数人为地加以改动而取得的特性称为异步电动机的人为机械特性。
电压U的改动对志向空载转速no和临界转差率Sm不发作影响,但 转矩Tmax与U2成正比,当下降定子电压时,no和Sm不变,而Tmax大大减小。
在同一转差率状况下,人为特性与固有特性的转矩之比等于电压的平方之比。因而在制造下降电压的人为特性时,是以固有特性为根底,在纷歧样的S处,取固有特性上对应的转矩乘下降电压与额外电压比值的平方,即可作出人为特性曲线:

三相异步电动机的电磁转矩及机械特性
在电动机定子电路中外串电阻或电抗后,电动机端电压为电源电压减去定子外串电阻上或电抗上的压降,致使定子绕组相电压下降。
